§3  平面上的直线

 

一、平面上直线的方程与图形

 

       

 

 [斜截式]

                 

   

 

 

 

 

 

 

k为斜率.若直线与x轴的交角为a,则,这里0£a<p.

b为纵截距

 

[截距式]

 

 

  a,b分别为x轴,y轴上的截距.

  该直线通过A(a, 0)B(0, b)两点.

   x轴的交角         

                

[点斜式]

                    

 

 

   k为斜率      

  该直线通过点M(x0, y0),与x轴的交角

       

 

 

 

 

 

 

 

 

 

 

 

 

 

 

 

           

   

                  

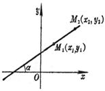
[两点式]

      

            

 

 

   该直线通过M1(x1, y1)M2(x2,  y2)两点,

   x轴的交角

      

 

[一般式]

 (A, B, C为常数,A, B不同时为零)                 

 

 

 

斜率     

纵截距 

[]一般方程可根据需要化成上面四种形式

 

[参数式]

  

 (-< t <)              

 

 

  斜率

  该直线通过点M(x0, y0)x轴的交角为a

 

[极坐标式]

 

 

  O为极点,Ox为极轴,p为极点到该直线的距离.a为极轴与从极点引到直线的垂线之间的夹角(逆时针方向为正)j为该直线上任一点M的极角,rM点的矢径

 

[法线式]

 

                

 

   p为法线长(原点O到直线的垂线长)b为法线与x轴的交角,p, b称为直线的位置参数.

[]直线一般式可化为法线式                    

式中称为直线的法化因子,当C< 0 (C=0B>0)时,取正号;当C>0(C=0B< 0)时,取负号

[矢量式]

      

              

 

 

 

    该直线通过矢径r0终点,且与已知矢量a平行

 

 

 

 

 

            

   

                

[复数式]

 

 (a)

  

 

 

(b)

 

             

 

 

 

  (a) 直线通过点z0,并与x轴的交角为a

 

 

 

 

 

  (b) 直线通过z1z2两点(t为实参数)

 

二、平面上点与直线的相互关系

 

[点线的距离]

法线式 

一般式 

 

 

 

 

 

   d=

  

  式中d为点M(x0, y0)到直线L的距离

[二直线的夹角]

L1    A1x + B1y + C1 = 0

     斜率为k1

L2    A2x + B2y + C2= 0

     斜率为k2

为二直线的夹角(从L1L2为逆时针时为正),为二直线的交点

 

 

 

 

 

 

 

 

 

 

特别,  ()时,L1//L2;

              时,L1L2重合;

              A1A2+B1B2 = 0 (1 + k1k2 = 0)时,L1L2

 

      

               

[直线束×三直线共点的条件]

       Ll   (A1x + B1y + C1) + l(A2x + B2y + C2) = 0,      (l为参数,-¥<l< ¥)

 

l的一个确定值,Ll表示一条通过二直线(L1L2)的交点G的直线,当l取一切值时,Ll所表示的通过G的直线的全体称为直线束,G称为直线束的顶点(或中心).

       L3A3x + B3y + C3 = 0,则三条直线L1, L2, L3共点的条件为行列式

                           

       如果二直线方程以法线式给定,则|l|为直线Ll上任一点到二给定直线之间的距离之比,对应与 l = 1 l = -1的直线为给定二直线夹角的平分线