4.数值导数
当函数用图形或表格给出时,就不可能用定义求出它的导数,只能用近似方法求数值导数.
[图解微分法] 适用于用图形给出的函数求导数,例如机械设计中已知s-t图,求
图,
a-t图等,其基本步骤如下:
(1)
将原坐标系Oxy沿y轴负方向平移一段距离得坐标系
(图5.4).

图5.4
(2) 过曲线y=f(x)上点M1(x1,y1)作切线M1T1 .在坐标系
内,过点P(-1,0)作PQ1平行于M1T1交y轴于点Q1 ,那末点Q1 (点
)的纵坐标就是导数
.以Q1的纵坐标为纵坐标,x1为横坐标作出点
.
(3) 在曲线y=f(x)上取若干个点
,在曲线弯曲程度较大处点取得密些.仿上作法,在坐标系
内得到相应点
,顺次连成光滑曲线,即是导函数
的图形.
[差商公式] 在实用中常使用下列简单的近似公式
,
,…,![]()
式中
=
(函数f
(x)在点a的1阶差分)
(函数f
(x)在点a的2阶差分)
……………………………………
(函数f
(x)在点a的k阶差分)
在函数的数值表中,如果有误差,则高阶差分的偏差较大,所以用以上公式不宜计算高阶导数.
[用插值多项式求数值导数] 假定已经求出了函数y=f (x)的插值多项式Pn (x),它可以求导,则用
近似
,由
f(x)=Pn(x)+Rn(x)
略去余项,得
≈
≈![]()
等等.它们的余项相应为
,
,等等.
应当指出,当插值多项式Pn(x)收敛于f(x)时,
不一定收敛于f' (x).另外,当h缩小时,截断误差减小,但舍入误差却增加,因此,采用缩小步长的方法也不一定能达到提高精度的目的.由于用插值法求数值微分的不可靠性,在计算时,要特别注意误差分析,或者改用其他方法.
[拉格朗日公式] (由拉格朗日插值公式得来,见第十七章,§2,三)
![]()
式中

![]()
![]()
(
)
[马尔科夫公式] (由牛顿插值公式得来,见第十七章,§2,二)
![]()
(
)
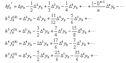
特别,当t = 0时,有

[等距公式]
三点公式
≈![]()
四点公式
≈![]()
五点公式
≈![]()
![]()
[用三次样条函数求数值导数] 这个方法能避免用插值法求数值导数的不可靠性.因为对于样条函数(曲线y=f(x)的三次样条函数S(x)的作法见第十七章,§2,四),当被插值函数f(x)有四阶连续导数,且hi=xi+1-xi→0时,只要S(x)收敛于f(x),则导数
一定收敛于
,且S(x)-f(x)=O(H4),
-
=O(H3),
,其中H是hi的最大值,因此,可直接通过三次样条函数
![]()


求数值导数得
=![]()


式中
,
,
。
若仅求样点xi上的导数,则
![]()
≈
=![]()
≈
=![]()